登录
注册
回到首页
AI
搜索
发现报告
发现数据
发现专题
研选报告
定制报告
VIP
权益
发现大使
发现一下
行业研究
公司研究
宏观策略
财报
招股书
会议纪要
seedance2.0
低空经济
DeepSeek
AIGC
大模型
当前位置:首页
/
其他报告
/
报告详情
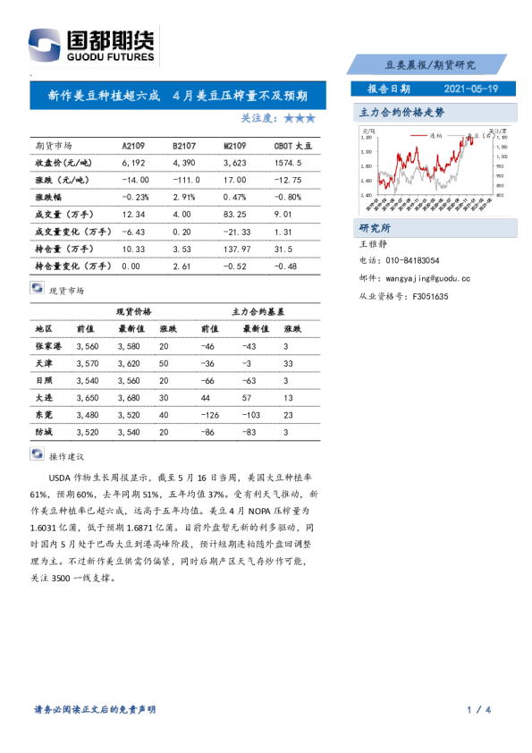
豆类晨报:美豆种植率达30% NOPA4月份压榨量不及预期
2022-05-17
王雅静
国都期货
温***
你可能感兴趣
豆类晨报:美豆压榨量不及预期 周度出口销售量符合预期
国都期货
2021-07-16
豆类晨报:美豆压榨量不及预期 外盘近期偏弱调整
国都期货
2021-06-16
豆类晨报:美豆收割率不及预期 巴西种植进度10年最慢
国都期货
2020-10-20
豆类晨报:美豆种植率不及预期,天气升水支撑内外盘上涨
国都期货
2019-06-18
新作美豆种植超六成,4月美豆压榨量不及预期
国都期货
2021-05-21