AI智能总结
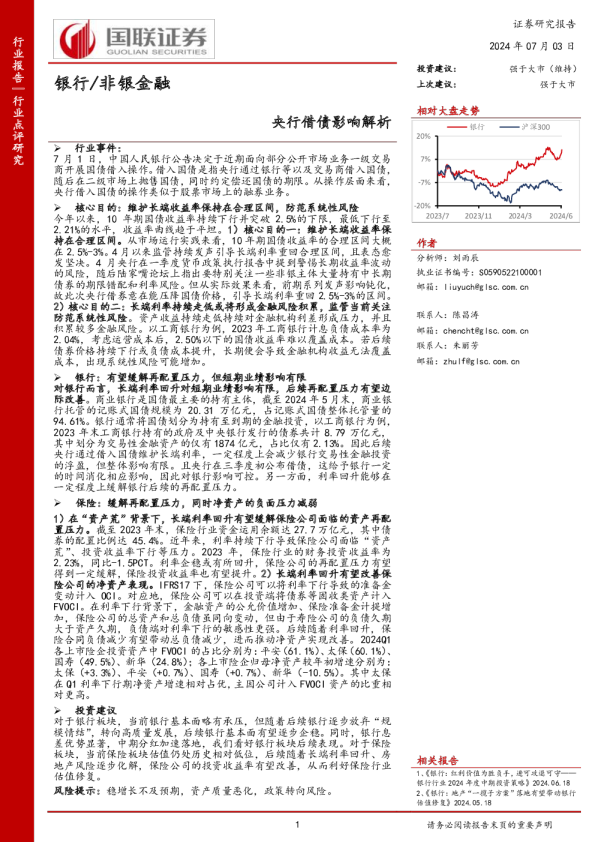
央行借债四步走:借入(信用贷不投放流动性)-卖出(回笼货币需常规工具等量对冲)-买入(释放货币观察是否流动性回收)-还券(闭环),短期收益率曲线陡峭化,中长期不影响债券供需,效力有限。该操作不等于YCC,重点观察央行是否持续扩表。 从比价相关性看借债短期可能冲击红利,即国债收益率上行削弱红利资产吸引力,但复盘钱荒经验(13-15年)及保险资配证据均不足。 从因果看,债市与红利更可能是宏观量价低位的硬币两面,央行借券一不影响实际利率,二不影响通胀预期。短期冲击反而提供红利再配置窗口,红利其他风险未过热:估值、交易、筹码、分化均处近十年中位。股息稳定性出发重点关注家电、石化。 央行借债闭环需四步走,意在收益率曲线陡峭。 央行借债四步走,以期实现收益率曲线陡峭,稳定债市利率风险。国债借入操作类似于权益市场的“融券”,央行整个操作涉及四个步骤:①央行借入国债:不投放流动性,可能降低市场上的可流通长期债券存量导致国债收益率下行。 ②央行卖出国债:推动中长期利率上修,回笼流动性,对短期流动性的影响取决于央行是否会采取等量的对冲操作。③央行买入国债:释放流动性,短端利率可能会因此受到扰动,若要保持流动性中性,需要央行对应的流动性回收操作。④央行还券:央行将买入的国债偿还之前出借的一级交易商,完成闭环。 央行借债不等同于日本YCC,YCC政策需要央行通过持续的、大规模的国债买卖来实现调控市场利率。当前中国央行持有国债占比远低于日本,未来重点关注央行是否会持续通过国债买卖扩张资产负债表。央行借债卖出不直接代表流动性收紧,在央行买卖国债过程中可能会辅之以逆回购、降准等其他货币政策工具,可以降低对流动性的冲击,在对长端利率调控的同时降低其外溢影响。 央行借债或对红利形成短期利率冲击,中期反而提供配置窗口。 央行借债对红利冲击需区分资产比价与基本面冲击两个路径。 ①短期路径假设:央行借债抬升长端利率,通过资产比价降低红利吸引力,但实证证据不足。红利实际上在13-15年整体都跑输市场,期间存在13年利率快速上升和14-15年货币宽松背景下利率大幅下行两个区间,更重要的是“四万亿”刺激之后上游资源品出现产能过剩,拖累相关行业业绩表现。机构行为看,过去三年利率持续下行,但险资并未显著增配高股息品种。 ②中长期路径假设:低利率背后是价格持续低位,增长承压,前端营收利润丧失弹性,红利股东回报优势显现,央行借券对经济基本面影响有限。 我们认为央行借债卖出的操作可能会带来中长端利率上行的预期,短期交易层面红利资产可能会受此影响出现调整;但中期视角经济弱复苏环境未被打破,红利资产在缺乏增长的背景下稳健占优的逻辑并未变化,依然具备配置价值。 红利其他风险排查:估值、交易、持仓未过热。 我们统计了交易热度、估值、行业分化程度、筹码四个视角,当前红利资产各项交易指标均处历史中位水平,并未到提示风险的位置。 红利配置:关注家电、石化,银行或受央行借债影响。 中期视角红利资产依然具备配置价值,短期的回调或提供配置窗口。而从红利内部的结构上来看,在经历持续两年占优后,作为低频价值策略,除关注股息率绝对水平高低外,股利及自由现金流稳定性更是中长线资金的关注重点,关注家电、石化。银行作为央行借债的一级交易商以及二级市场上的主要交易对手方,或将一定程度承担利率波动的影响。 风险提示:宏观经济复苏不及预期;海外经济疲弱;历史经验不代表未来。 核心结论: 1、央行借债四步走,以期实现收益率曲线陡峭,稳定债市利率风险: ①央行借入国债:不投放流动性,可能降低市场上的可流通长期债券存量导致国债收益率下行。 ②央行卖出国债:推动中长期利率上修,回笼流动性,对短期流动性的影响取决于央行是否会采取等量的对冲操作。 ③央行买入国债:释放流动性,短端利率可能会因此受到扰动,若要保持流动性中性,需要央行对应的流动性回收操作。 ④央行还券:央行将买入的国债偿还之前出借的一级交易商,完成闭环。 2、央行借债不等同于日本YCC,YCC政策需要通过持续大规模的国债买卖来实现利率调控,当前中国央行持有国债占比远低于日本,重点是央行未来是否会持续扩表。 3、央行借债卖出不直接代表流动性收紧,关注国债买卖过程中常规货币政策松紧配合。 4、央行借债对红利冲击需区分资产比价与基本面冲击两个路径。 ①短期路径假设:央行借债抬升长端利率,通过资产比价降低红利吸引力,但实证证据不足。 ②中长期路径假设:低利率背后是价格持续低位,增长承压,前端营收利润丧失弹性,红利股东回报优势显现,央行借券对经济基本面影响有限。 5、短期利率回升的预期可能在交易层面引发红利资产调整,但中期经济弱复苏环境未被打破,红利资产在缺乏增长的背景下稳健占优的逻辑延续,依然具备配置价值。 6、从交易热度、估值、行业分化程度、筹码四个视角,当前红利资产各项交易指标均处历史中位水平,并未到提示风险的位置。 7、红利配置:中期视角红利资产依然具备配置价值,短期的回调或提供配置窗口。从股利稳定性出发,重视家电、石化。银行作为央行借债的一级交易商以及二级市场上的主要交易对手方,或将一定程度承担利率波动的影响。 一、央行借债闭环需四步走,意在收益率曲线陡峭 7月1日,央行发布公开市场业务公告称,决定于近期面向部分公开市场业务一级交易商开展国债借入操作。7月5日,财联社报道称人民银行“将采用无固定期限、信用方式借入国债,且将视债券市场运行情况,持续借入并卖出国债”。 央行借债四步走,以期实现收益率曲线陡峭,稳定债市利率风险。国债借入操作类似于权益市场的“融券”,央行整个操作涉及四个步骤:央行借入国债、央行卖出借入的国债、央行买入国债、央行还券。 ①央行借入国债:不投放流动性,可能降低市场上的可流通长期债券存量导致国债收益率下行。央行从公开市场业务一级交易商手中借入国债,由于明确是通过“无固定期限、信用方式”借入,这意味着央行将不会向融出国债的银行提供质押品,也意味着借券的过程将不会实现流动性投放。央行借入国债的这一步操作可能引起长期国债收益率出现下行,原因是市场上的可流通长期债券存量因央行借入而有可能出现下降(取决于借来的券是不是活跃券,以及出借的金融机构原来是否准备将这部分券持有到期)。如果是活跃券,则央行借债的操作可能会导致流通供给减少,抬高中长期国债价格,降低利率中枢;如果不是活跃券或者出借的金融机构原本准备将这部分券持有到期,则在央行借债一步并未对市场供给造成影响。 ②央行卖出国债:推动中长期利率上修,回笼流动性,对短期流动性的影响取决于央行是否会采取等量的对冲操作。央行“视债券市场运行情况”,择机卖出借入的国债,由于这个过程中并未新发债券,因此央行卖出国债的速度和节奏会影响市场上流通中长债的供给,如果央行在短期快速卖出借入的国债,则对应市场供给增加,中长期国债价格下跌,利率中枢上修。此外,央行卖出国债对应基础货币回笼,如果央行没有用其他方式进行等量的对冲操作,例如通过OMO或者MLF在市场上释放等量流动性,那么央行卖出国债可能会出现收缩流动性的效果,这时短端利率也可能出现上移。 ③央行买入国债:释放流动性。央行在二级市场上卖出国债后,还需要买入国债以偿还前期借入的债券,其买入的速度和节奏也会影响市场上流通中长债的供给,从而影响债券价格,但目前央行何时买入,以及如何买入尚不明确,仍需跟踪。 此外,这一过程会释放流动性,短端利率可能会因此受到干扰,如果想保持整个操作的流动性中性,那就还需要央行进行对应的流动性回收操作。 ④央行还券:完成闭环。央行将买入的国债偿还之前出借的一级交易商,完成整个借入-卖出-买入-偿还的操作。 整体来看,央行买卖债券的行为看起来则高度接近于一个不定期限的正回购操作。 这个操作会影响短期市场的流动性,如果央行不进行对冲操作,那短期货币市场利率可能偏离政策利率,如果进行对冲操作,则相当于一边用正回购回收流动性,一边通过别的工具释放流动性,到期后再反向操作。 图表1央行借债卖出示意图 央行借债不等同于日本YCC,重点是央行资产负债表是否持续扩张。YCC政策又称为收益率曲线控制政策,是日本版的“加强版QE”。该政策就是以日本国债为标的,以日债收益率为指标来划定控制区间,一旦长期债券收益率触及利率下限时,央行可以大量卖出国债,影响债券二级市场供求关系,推升利率。但YCC政策需要央行通过持续的、大规模的国债买卖来实现调控市场利率。2013年以来,日本银行坚持量化宽松政策,实行“收益率曲线控制”,并于2016年正式宣布导入YCC政策,直到24/3才终结。12-23年日本央行持有国债规模从114万亿日元大幅上升至592万亿日元,资产总额从158万亿日元扩张至750万亿日元,国债占央行总资产比重从60%提升至80%。相比之下,中国央行持有国债规模长期维持在1.5万亿元左右,截至24/5为1.52万亿元,占央行总资产比重仅3.5%。此外,从国债持有者结构来看,2023年末日央行在国债持有者中占比50%左右,而中国央行仅为5%。我们认为央行本次操作并不等同于日本的YCC政策,未来重点关注央行是否会持续通过国债买卖扩张资产负债表,如果国债买卖的操作计入央行资产负债表变动,那么对应的科目变动可能如下: ①央行借入国债:资产端增加“对中央政府债权”,负债端尚不明确具体计入科目,我们这里假设其计入“其他负债”; ②央行卖出国债:资产端减少“对中央政府债权”,负债端减少“储备货币”,其中可能主要为“其他存款性公司存款”; ③央行买入国债:资产端增加“对中央政府债权”,负债端增加“储备货币”; ④央行还券:资产端减少“对中央政府债权”,负债端减少“其他负债”。 图表2日本经历多年YCC政策,国债占央行资产比重已升至80%左右 图表3中国央行持有国债规模长期维持在1.5万亿左右,占总资产比重3.5% 图表4央行借债各环节可能对应的资产负债表变动 央行借债卖出不直接代表流动性收紧,关注国债买卖过程中常规货币政策松紧配合。 要引导长期利率抬升,收紧流动性是最直接有效的方式,那样利率曲线会整体被抬升,但我们认为与绝对的收益率点位相比,央行更在意的是保持利率曲线的陡峭。潘功胜在陆家嘴论坛的讲话提到:“把国债买卖纳入货币政策工具箱不代表要搞量化宽松…当前特别是要关注一些非银主体大量持有中长期债券的期限错配和利率风险,保持正常向上倾斜的收益率曲线,保持市场对投资的正向激励作用。”目前央行的操作相当于调整利率曲线形态,说明央行希望兼顾多重目标。同时,在央行买卖国债过程中可能会辅之以OMO、MLF等其他常规货币政策工具,可以降低对流动性的冲击,在对长端利率调控的同时降低其外溢影响。 二、央行借债或对红利形成短期利率冲击,中期反而提供配置窗口 央行借债对红利冲击需区分资产比价与基本面冲击两个路径。红利资产与利率相关性较强,过去三年国债收益率持续下行,对应红利资产大幅跑赢市场整体,如今央行的操作带来长端利率回升的预期,市场担忧是否会对红利资产造成影响?我们认为需要从两个视角讨论这个问题,红利资产与利率相关性强可能有两个路径:1、资产比价;2、经济基本面。其中资产比价是基于短期相关性的研究,而经济基本面对应的是相关性背后中长期的因果关系。长端利率的定价最终取决于实际利率和通胀预期的走势,而这些又最终取决于经济基本面的情况。我们认为利率与红利资产的相关性中,经济基本面是主要因素,资产比价是次要因素,短期利率回升的预期可能在交易层面引发红利资产回调,但并不会改变基本面视角红利资产受益逻辑,因此中期视角红利资产依然具备配置价值。 图表5过去三年伴随利率下行红利资产持续跑赢 短期路径假设:央行借债抬升长端利率,通过资产比价降低红利吸引力,但实证证据不足。市场对于红利资产与利率相关性的解读更多集中在比价因素,由于国债收益率下行导致“类债”属性的红利资产配置性价比提升,从而带动了其持续的超额收益。基于流动性因素导致利率上行冲击红利的经验,可参考2013年“钱荒”。2013年6月2