登录
注册
回到首页
AI
搜索
发现报告
发现数据
发现专题
研选报告
定制报告
VIP
权益
发现大使
发现一下
行业研究
公司研究
宏观策略
财报
招股书
会议纪要
中央经济工作会议
低空经济
DeepSeek
AIGC
智能驾驶
大模型
当前位置:首页
/
其他报告
/
报告详情
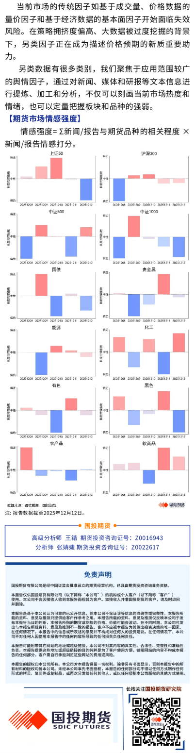
市场情绪与舆情因子周报
2025-12-12
王锴、张婧婕
国投期货
晓***
你可能感兴趣
市场情绪与舆情因子周报
国投期货
2025-06-06
市场情绪与舆情因子周报
国投期货
2025-01-24
市场情绪与舆情因子周报
国投期货
2025-01-03
市场情绪与舆情因子周报
国投期货
2025-03-28
市场情绪与舆情因子周报
国投期货
2024-12-06