AI智能总结
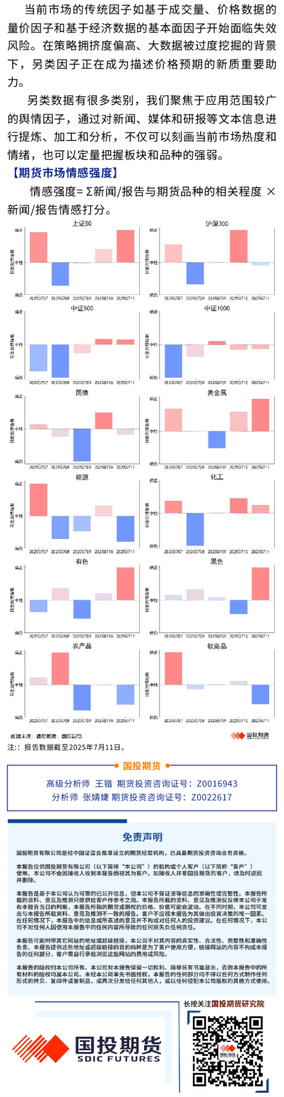
另类数据有很多类别,我们聚焦于应⽤范围较⼴的舆情因⼦,通过对新闻、媒体和研报等⽂本信息进⾏提炼、加⼯和分析,不仅可以刻画当前市场热度和情绪,也可以定量把握板块和品种的强弱。 【期货市场情感强度】 情感强度= Σ新闻/报告与期货品种的相关程度 ×新闻/报告情感打分。 【⾼频新闻关键词】 我们统计了近⼀周市场中热度较⾼的新闻/报告中与期货市场存在相关度较⾼的关键词,其中⽓泡⼤⼩反应关键词出现频率,⽓泡颜⾊代表关键词对应新闻/报告的情感分类,蓝⾊为负⾯,红⾊为正⾯。 ⾼级分析师王锴期货投资咨询证号:Z0016943分析师 张婧婕 期货从业资格号:F03116832