您的浏览器禁用了JavaScript(一种计算机语言,用以实现您与网页的交互),请解除该禁用,或者联系我们。 [国投期货]:市场情绪与舆情因子周报 - 发现报告

市场情绪与舆情因子周报

2025-12-05 王锴,张婧婕 国投期货 α
报告封面

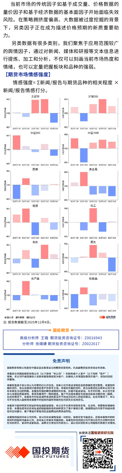
另类数据有很多类别,我们聚焦于应⽤范围较⼴的舆情因⼦,通过对新闻、媒体和研报等⽂本信息进⾏提炼、加⼯和分析,不仅可以刻画当前市场热度和情绪,也可以定量把握板块和品种的强弱。 【期货市场情感强度】 情感强度= Σ新闻/报告与期货品种的相关程度 ×新闻/报告情感打分。 国投期货 ⾼级分析师王锴期货投资咨询证号:Z0016943分析师张婧婕 期货投资咨询证号:Z0022617