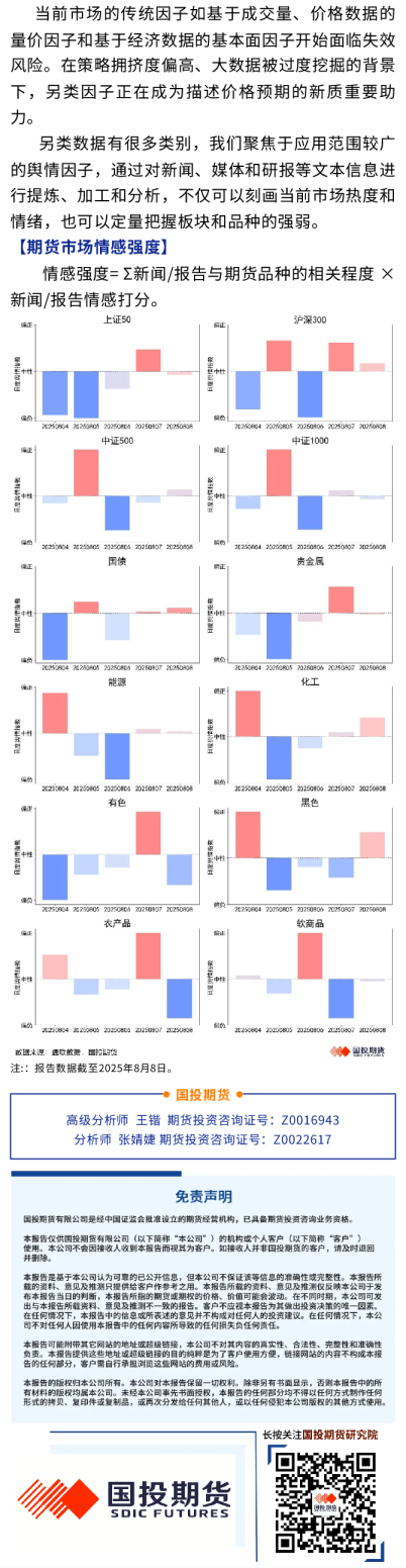
当前市场的传统因子如基于成交量、价格数据的量价因子和基于经济数据的基本面因子开始面临失效⻛险。在策略拥挤度偏高、大数据被过度挖掘的背景下,另类因子正在成为描述价格预期的新质重要助力。 另类数据有很多类别,我们聚焦于应用范围较广的舆情因子,通过对新闻、媒体和研报等文本信息进行提炼、加工和分析,不仅可以刻画当前市场热度和情绪,也可以定量把握板块和品种的强弱。【期货市场情感强度】情感强度= Σ新闻/报告与期货品种的相关程度 ×新闻/报告情感打分。注::报告数据截至2025年8月8日。国投期货高级分析师 王锴 期货投资咨询证号:Z0016943分析师 张婧婕 期货投资咨询证号:Z0022617
另类数据有很多类别,我们聚焦于应⽤范围较⼴的舆情因⼦,通过对新闻、媒体和研报等⽂本信息进⾏提炼、加⼯和分析,不仅可以刻画当前市场热度和情绪,也可以定量把握板块和品种的强弱。 【期货市场情感强度】 情感强度= Σ新闻/报告与期货品种的相关程度 ×新闻/报告情感打分。 国投期货 ⾼级分析师王锴期货投资咨询证号:Z0016943分析师张婧婕 期货投资咨询证号:Z0022617