您的浏览器禁用了JavaScript(一种计算机语言,用以实现您与网页的交互),请解除该禁用,或者联系我们。 [国投期货]:市场情绪与舆情因子周报 - 发现报告

市场情绪与舆情因子周报

2025-07-18 王锴,张婧婕 国投期货 yuAner
报告封面

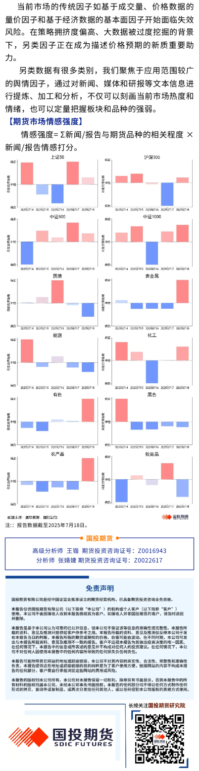
当前市场的传统因⼦如基于成交量、价格数据的量价因⼦和基于经济数据的基本⾯因⼦开始⾯临失效 ⻛险。在策略拥挤度偏⾼、⼤数据被过度挖掘的背景 下,另类因⼦正在成为描述价格预期的新质重要助 ⼒。 另类数据有很多类别,我们聚焦于应⽤范围较⼴的舆情因⼦,通过对新闻、媒体和研报等⽂本信息进 ⾏提炼、加⼯和分析,不仅可以刻画当前市场热度和 情绪,也可以定量把握板块和品种的强弱。 【期货市场情感强度】 情感强度=Σ新闻/报告与期货品种的相关程度×新闻/报告情感打分。 注::报告数据截⾄2025年7⽉18⽇。 国投期货 ⾼级分析师王锴期货投资咨询证号:Z0016943分析师张婧婕期货投资咨询证号:Z0022617