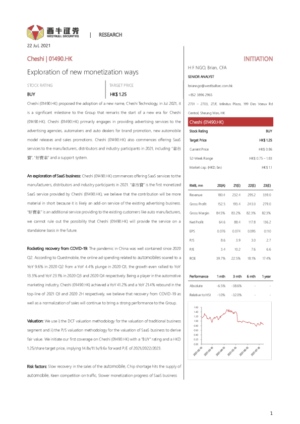
发现报告(www.fxbaogao.com)是金融圈都在用的专业研报平台,用户量特别大。我们致力于提供最全的研报数据,不管是宏观经济还是具体公司的财报,这里应有尽有,报告多到您看不完。凭借先进的技术和简洁的页面,我们帮您省去了大量筛选的时间,让获取关键信息变得轻而易举,绝对是您投资路上的好帮手。
报告指出,姚记科技进军球星卡市场,投资卡牌交易及发行平台Card Hobby,持股比例约为38%。公司利用自身主业优势将和Card Hobby在卡片生产研发、渠道营销方面进行深度合作,未来五年,卡行业的投入和探索将成为公司的重点发展方向之一,国内体育IP收藏卡领域也有望能够前进一大步。2022年为体育大年,体育赛事丰富,群众基础扎实,政策大力支持。中国体育的用户数量基数大,中国球迷群体庞大,公司选择球星卡作为切入点,核心在于认为未来3-5年中国市场会有爆发。公司主业扎实,继续大力发展游戏、广告短视频营销等业务。公司于3月17日公告董事会审议通过调整《发行可转债方案》,调整后公司拟发行可转债募集资金总额不超过人民币5.83亿元,发行数量不超过583.1273万张,扣除发行费用后主要用于年产6亿副扑克牌生产基地建设项目,删除补充流动资金项目及其2.4亿募集投入金额等。建议密切关注。