登录
注册
回到首页
AI
搜索
发现报告
发现数据
发现专题
研选报告
定制报告
VIP
权益
发现大使
发现一下
行业研究
公司研究
宏观策略
财报
招股书
会议纪要
稀土
低空经济
DeepSeek
AIGC
智能驾驶
大模型
当前位置:首页
/
宏观策略
/
报告详情
衍生品点评:期指交割日,波动不改中期趋势
2011-02-18
欧阳晓辉
大通证券
足***
你可能感兴趣
金融衍生品策略周报:股指中期向上趋势不改,债市谨慎操作
中信期货
2020-07-19
【华西食饮】白酒板块回调已深,批价短期波动不改中期修复趋势周末某公众号提
未知机构
2023-04-23
华龙内参2021年第101期,总第932期(电子版):短期波动不改中期趋势
华龙证券
2021-06-04
非银金融行业周报:短期波动不改中期趋势,看好非银跨年行情
金融
开源证券
2020-11-15
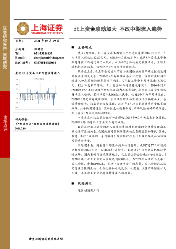
北上资金波动加大 不改中期流入趋势
上海证券
2021-07-29