AI智能总结
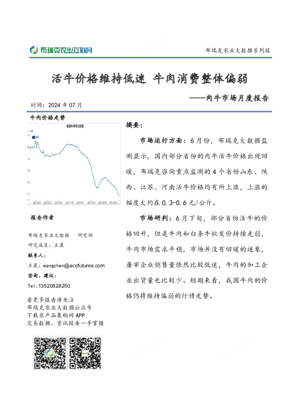
——2025年1月10日 布瑞克农业大数据简介 布瑞克农业大数据公众号、小程序—扫码进入获取更多海量数据 布瑞克农业大数据产品—主要农产品产业链图册 摘要 n截止2025年01月09日,全国国产大豆现货价格最新值为4058元/吨,较去年同期下降15.81%。 n截止2025年01月09日,进口大豆大连港口分销价最新值为4050元/吨,较去年同期下降15.62%。 n截止2025年01月03日,全国大豆入榨量最新值为1727900吨,较上期值下降17.02%,较去年同期下降8.07%;全国大豆开机率最新值为48.6%,较上期值下降16.92%,较去年同期下降16.58%。 n截止2025年01月03日,全国大豆港口库存最新值为7708600吨,较上期值下降0.49%,较去年同期上涨10.72%;全国豆油油厂库存最新值为95.7万吨,较上期值下降0.93%,较去年同期下降3.63%。 n截止2025年01月09日,全国豆油一级豆油现货价格最新值为7942元/吨,较上期值下降0.73%,较去年同期下降1.79%。 n截止2025年01月09日,全国国产大豆现货价格最新值为4058元/吨,较上期值上涨0%,较去年同期下降15.81%,2022年01月03日至2025年01月09日,全国国产大豆现货价格最小值为4058元/吨,最大值为5889.47元/吨,均值为5125.59元/吨。 n截止2025年01月09日,大连豆一主力连续收盘价[右轴]最新值为3840元/吨,较上期值上涨0.08%,较去年同期下降20.05%,2022年01月03日至2025年01月09日,大连豆一主力连续收盘价[右轴]最小值为3807元/吨,最大值为6377元/吨,均值为5180.15元/吨。 美豆及进口大豆市场行情分析 n截止2025年01月09日,芝加哥美豆主力连续收盘价最新值为996.6美分/蒲式耳,较上期值上涨0.26%,较去年同期下降20.12%,2022年01月03日至2025年01月09日,芝加哥美豆主力连续收盘价最小值为951.6美分/蒲式耳,最大值为1731.6美分/蒲式耳,均值为1325.03美分/蒲式耳。 n截止2025年01月09日,芝加哥美豆粕1号连续收盘价[右轴]最新值为291.9美元/短吨,较上期值下降0.24%,较去年同期下降20.18%,2022年01月03日至2025年01月09日,芝加哥美豆粕1号连续收盘价[右轴]最小值为279.9美元/短吨,最大值为527.2美元/短吨,均值为403.05美元/短吨。 美豆及进口大豆市场行情分析 n截止2025年01月09日,进口大豆大连港口分销价最新值为4050元/吨,较上期值上涨0%,较去年同期下降15.62%,2022年01月04日至2025年01月09日,进口大豆大连港口分销价最小值为4050元/吨,最大值为5830元/吨,均值为4986.81元/吨。 n截止2025年01月09日,大连豆二主力连续收盘价[右轴]最新值为3216元/吨,较上期值下降1.02%,较去年同期下降23.57%,2022年01月04日至2025年01月09日,大连豆二主力连续收盘价[右轴]最小值为3216元/吨,最大值为5748元/吨,均值为4458.99元/吨。 国内大豆压榨及库存走势分析 n截止2025年01月03日,全国大豆入榨量最新值为1727900吨,较上期值下降17.02%,较去年同期下降8.07%,2022年01月07日至2025年01月03日,全国大豆入榨量最小值为276000吨,最大值为2310100吨,均值为1867124.16吨。 n截止2025年01月03日,全国大豆开机率[右轴]最新值为48.6%,较上期值下降16.92%,较去年同期下降16.58%,2022年01月07日至2025年01月03日,全国大豆开机率[右轴]最小值为8.56%,最大值为75.37%,均值为58.1%。 国内大豆压榨及库存走势分析 n截止2025年01月03日,全国大豆港口库存最新值为7708600吨,较上期值下降0.49%,较去年同期上涨10.72%,2022年01月07日至2025年01月03日,全国大豆港口库存最小值为3066500吨,最大值为9005300吨,均值为6151962.65吨。 n截止2025年01月03日,全国豆油油厂库存[右轴]最新值为95.7万吨,较上期值下降0.93%,较去年同期下降3.63%,2022年01月07日至2025年01月03日,全国豆油油厂库存[右轴]最小值为63.68万吨,最大值为115.6万吨,均值为89.11万吨。 国内外油脂期货和现货价格走势分析 n截止2025年01月09日,芝加哥美豆油主力连续收盘价最新值为42.38美分/磅,较上期值上涨2.02%,较去年同期下降12.78%,2022年01月03日至2025年01月09日,芝加哥美豆油主力连续收盘价最小值为38.51美分/磅,最大值为86.8美分/磅,均值为56.19美分/磅。 n截止2025年01月09日,马来棕榈油主力连续收盘价[右轴]最新值为4295令吉/吨,较上期值下降1.81%,较去年同期上涨15.02%,2022年01月03日至2025年01月09日,马来棕榈油主力连续收盘价[右轴]最小值为3205令吉/吨,最大值为7105令吉/吨,均值为4281.65令吉/吨。 国内外油脂期货和现货价格走势分析 n截止2025年01月09日,全国豆油一级豆油现货价格最新值为7942元/吨,较上期值下降0.73%,较去年同期下降1.79%,2022年01月03日至2025年01月09日,全国豆油一级豆油现货价格最小值为7180元/吨,最大值为13021.7元/吨,均值为9145.69元/吨。 n截止2025年01月10日,全国棕榈油24度棕榈油现货价格最新值为9905元/吨,较上期值下降1.49%,较去年同期上涨38.82%,2022年01月03日至2025年01月10日,全国棕榈油24度棕榈油现货价格最小值为6930元/吨,最大值为16371元/吨,均值为8987.28元/吨。 声明 本报告涉及的所有内容(包括但不限于数据、文字、图表等)均系布瑞克农业大数据研究部依据公开数据资料整理、编辑、绘制,研究中心力求但不保证该信息的准确性和完整性。受研究方法和数据获取资源的限制,本报告只提供给用户作为市场参考资料,本公司对该报告的数据和观点不承担任何法律责任。本报告版权属于布瑞克农业大数据,任何未经布瑞克农业大数据书面授权许可,擅自使用本报告的内容进行复制、引用、传播、改编、出版等相关商业活动的行为,均涉嫌违反《中华人民共和国著作权法》和其他法律法规及有关国际公约的规定,布瑞克农业大数据保留随时追究相关机构或人员法律责任的权利。如征得本公司书面许可后进行引用、刊发的,需在允许的范围内使用,并注明出处为“布瑞克农业大数据终端”,且不得对本报告进行任何有悖原意的引用、删节和修改。 All contents involved in this report (including but not limited to data, text, charts, etc.) are collated, edited anddrawn byBric Agricultural Big Databased on publiclyavailable data.Bric Agricultural Big Datastrives but does notguarantee the accuracy and completeness of the information. Due to the limitation of researchmethods and dataaccess resources, this report is only provided to users as market reference, and the company does not assume anylegal liability forhe data or opinion. The copyright of this report belongs toBric Agricultural Big Data.Anyunauthorized business use of our reports to copy, quote, spread,adaptation, publishing, are suspected of violatingthe law of the People‘s Republic of China copyright law. We retain the right to legal liability shall beinvestigatedfor relevant personnel or institutions at anytime. If the report is quoted or published with the permission of ourcompany, it shall be usedwithin the permitted scope and the source shall be indicated as“Bric Agricultural BigData”, and no contradictory quotations, deletions ormodifications shall be made to the report. THANK YOU FOR YOUR GUIDANCE 谢谢