登录
注册
回到首页
AI
搜索
发现报告
发现数据
发现专题
研选报告
定制报告
VIP
权益
发现大使
发现一下
行业研究
公司研究
宏观策略
财报
招股书
会议纪要
海南封关
低空经济
DeepSeek
AIGC
大模型
当前位置:首页
/
其他报告
/
报告详情
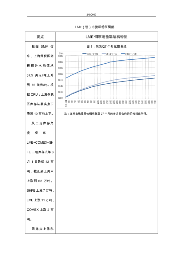
LME(铜)市微观特征图解
2016-04-25
五矿期货
九***
你可能感兴趣
五矿期货LME(铜)市微观特征图解
五矿期货
2013-11-14
LME(铜)市微观特征图解:LME铜市场微观结构特征
五矿期货
2013-11-05
五矿期货LME(铜)市微观特征图解
五矿期货
2013-02-01
五矿期货LME(铜)市微观特征图解
五矿期货
2013-06-19
LME(铜)市微观特征图解
五矿期货
2013-05-29