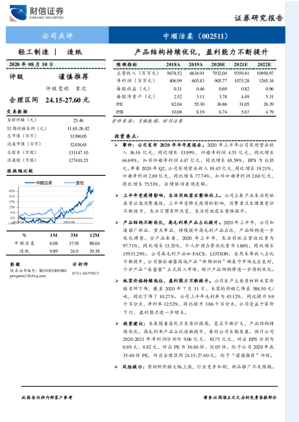
AI智能总结
事项: 2022年10月28日,公司发布2022年第三季度报告: 1)公司2022Q1-Q3实现营业收入27.04亿元,同比+47.63%;毛利率65.03%,同比+6.86pct;归母净利润8.59亿元,同比+121.31%;扣非后归母净利润8.35亿元,同比+148.69%。 2)公司2022Q3实现营业收入10.02亿元,同比/环比+42.49%/+8.14%;毛利率65.08%,同比/环比+2.20pct/-1.10pct;归母净利润3.29亿元,同比/环比+69.50%/+10.43%;扣非后归母净利润3.16亿元,同比/环比+81.65%/+8.10%。 评论: 业绩持续高增长,高可靠业务快速放量带动公司盈利能力显著提升。公司2022Q3实现营业收入10.02亿元,同比/环比+42.49%/+8.14%。分业务看,22Q1/Q2/Q3公司安全与识别芯片业务收入分别为2.15/2.46/2.76亿元,2022Q3收入环比+12.20%;非挥发性存储器业务收入分别为2.46/2.41/2.30亿元,环比-4.56%;智能电表芯片业务收入分别为1.02/1.74/1.90亿元,环比+9.20%;FPGA及其他芯片业务收入分别为1.71/2.07/2.35亿元,环比+13.53%。我们认为高可靠业务将正成为公司业绩的主要驱动力,同时MCU等业务在汽车等新兴市场持续突破,公司产品结构持续优化,未来业绩有望保持高增长。 公司FPGA芯片技术不断突破,有望持续受益于下游需求旺盛。技术先发优势下高可靠产品持续放量,截至2022年6月底,公司累计向超过500家客户销售相关FPGA产品,考虑到2022年上半年公司FPGA及其他产品实现销售收入仅为3.78亿元,我们认为公司FPGA产品尚处于放量前期,未来收入有望保持高增长。历史上看,公司高可靠产品毛利率超过90%,公司技术持续突破、产品不断切入新领域,收入放量有望带动业绩高增长。 产品结构持续优化升级,公司非挥发存储器、MCU等业务显著受益。公司安全与识别芯片、非挥发存储器、MCU三大产品线均有部分料号切入汽车电子领域,充分说明公司多年积累的技术优势开始显现。其中公司智能电表MCU产品持续受益于老表更换周期+新标准实施带来的需求增长,同时汽车市场持续突破为公司MCU业务打开成长空间。远期来看,公司把握机遇积极开拓市场与新客户,产品结构和客户结构持续优化升级,未来业绩增长值得期待。 投资建议:公司作为老牌IC设计公司,持续受益于行业高景气,同时FPGA已进入收获期。我们预计公司2022-2024年归母净利润为10.98/15.00/18.55亿元,对应EPS为1.35/1.84/2.28元。参考行业可比公司估值及公司自身业绩增速,同时考虑到公司利润受股权激励费影响,我们给予2023年60倍PE,对应目标价110.51元/股,维持“强推”评级;给予公司AH股折价率为50%,即给予港股2023年30倍PE,对应目标价60.49港元/股,维持“强推”评级。 风险提示:下游需求不及预期;新产品推出不及预期;产能支持不及预期。 主要财务指标