登录
注册
回到首页
AI
搜索
发现报告
发现数据
发现专题
研选报告
定制报告
VIP
权益
发现大使
发现一下
行业研究
公司研究
宏观策略
财报
招股书
会议纪要
稀土
低空经济
DeepSeek
AIGC
智能驾驶
大模型
当前位置:首页
/
其他报告
/
报告详情
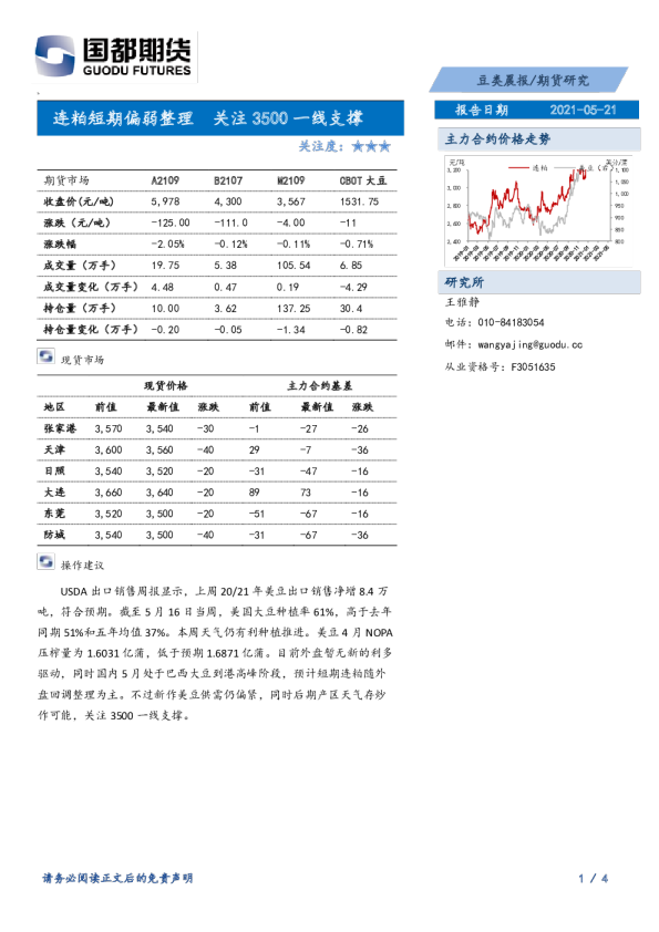
夜盘连粕低开回调,关注3500一线支撑
2021-05-21
王雅静
国都期货
老***
你可能感兴趣
豆类晨报:连粕夜盘大跌4% 关注下方3400一线支撑
国都期货
2021-02-26
豆类晨报:连粕夜盘大幅回落 关注下方2850一线支撑
国都期货
2020-08-21
连粕短期偏弱整理,关注3500一线支撑
国都期货
2021-05-21
豆类晨报:连粕随美豆震荡磨底 关注外盘800一线支撑
国都期货
2020-04-29
豆类晨报:夜盘连粕跌破3300 关注今晚USDA报告指引
国都期货
2021-10-12