登录
注册
回到首页
AI
搜索
发现报告
发现数据
发现专题
研选报告
定制报告
VIP
权益
发现大使
发现一下
行业研究
公司研究
宏观策略
财报
招股书
会议纪要
稀土
低空经济
DeepSeek
AIGC
智能驾驶
大模型
当前位置:首页
/
其他报告
/
报告详情
金友期货焦炭早报
2013-03-15
林玲
福能期货
甜***
你可能感兴趣
金友期货焦煤焦炭早报
福能期货
2013-08-16
金友期货焦炭早报
福能期货
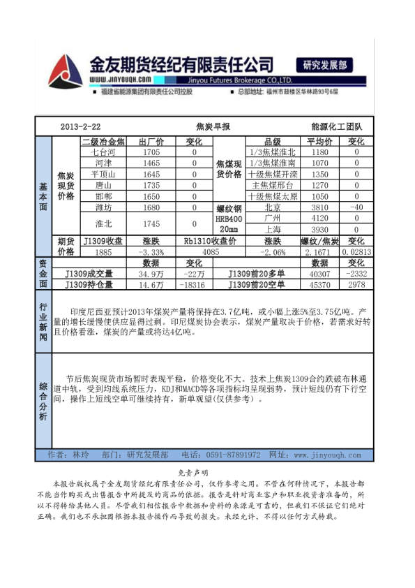
2013-02-22
金友期货焦炭早报
福能期货
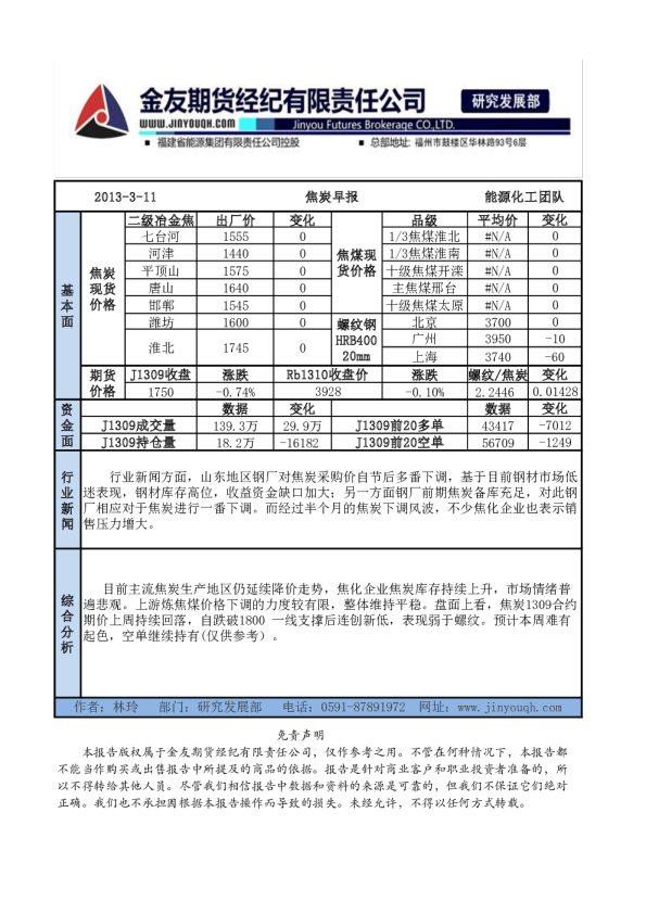
2013-03-11
金友期货炉料(焦煤焦炭)早报
福能期货
2013-11-06
金友期货焦煤焦炭早报
福能期货
2013-04-09