登录
注册
回到首页
AI
搜索
发现报告
发现数据
发现专题
研选报告
定制报告
VIP
权益
发现大使
发现一下
行业研究
公司研究
宏观策略
财报
招股书
会议纪要
海南封关
低空经济
DeepSeek
AIGC
大模型
当前位置:首页
/
其他报告
/
报告详情
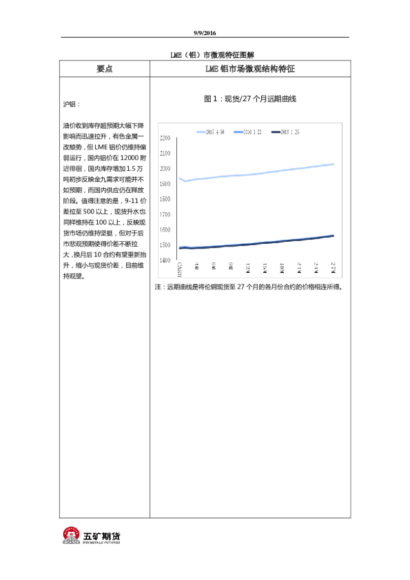
五矿期货LME(铝)市微观特征图解
2015-08-13
五矿期货
清***
你可能感兴趣
五矿期货LME(铝)市微观特征图解:继续回调,关注跨市正套机会
五矿期货
2013-06-19
五矿期货LME(铝)市微观特征图解:量仓双降,库存猛增,弱势明显
五矿期货
2013-05-15
五矿期货lme(铝)市微观特征图解
五矿期货
2014-06-16
五矿期货LME(铝)市微观特征图解
五矿期货
2016-09-09
五矿期货LME(铝)市微观特征图解
五矿期货
2015-06-29